当在PAN-A系列的输出上连接电池等积蓄能量的负载时,大电流通过内部输出控制电路的保护二极管,从负载流向内部电容器,有时可能会使内部破损,减少负载的寿命。此时,请在电源主体和负载之间,串联连接防止逆电流用的二极管。
-
Tektronix/泰克
-
KEITHLEY/吉时利
-
FLUKE/福禄克
-
HIOKI/日置
-
FLIR/菲力尔
-
菊水/KIKUSUI
-
-
高可靠性电源PAN-A系列
- 型号PAN-A系列
- 品牌菊水
- 价格电议
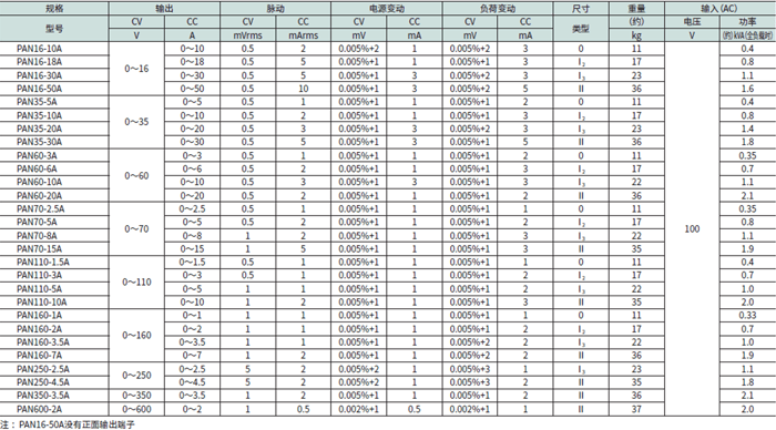
PAN-A系列是串联调节器方式的直流稳定电源。对可靠性和安全性等电源装置的重要因素也进行了周全的考虑,在采用降额设计完善的部件同时,还配备了各种安全功能。从研发,品质管理到生产现场,适用领域广泛,通用性强。输出容量为175W,350W,700W,1000W共4种。按Max输出电压划分(16~600V),共推出了28种机型。
产品概要
PAN-A系列是串联调节器方式的直流稳定电源。对可靠性和安全性等电源装置的重要因素也进行了周全的考虑,在采用降额设计完善的部件同时,还配备了各种安全功能。从研发,品质管理到生产现场,适用领域广泛,通用性强。输出容量为175W,350W,700W,1000W共4种。按Max输出电压划分(16~600V),共推出了28种机型。
特长
安全功能
过电压保护装置(OVP)
因误操作或事故发生过电压时,将电源开关用电路保护器瞬间(动作时间50ms以内)切断,保护负载(175W型,350W型(TYPE0,12)通过栅极块方式切断整流电路)。特别是本系列的OVP是预先设定类型,通过按下预设按钮,可以一边从面板看电压计,一边进行动作电压的检查,在老化过程中也可以不中断OVP动作。
过热保护电路
机器内部的主要部件的温度超过规定值时,切断电源开关。并且,主变压器或副变压器中,还内置了温度保险丝,可进一步提供安全性。
电压检测电路
由于面板内的远程切换开关的错误操作或整流电路发生故障,当滤波用电解电容器的电压超过额定电压时,瞬间切断整流电路。
电涌吸收器
保护主机免受因雷等电源线产生的电涌电压的影响。
防止逆连接电路
即使在输出端施加逆极性的电压,本机也将启动自我保护。
过电流检测电路
经常通过比较增幅器监视输出电流,防止远程控制时输入过量而超出额定值,保护机器免受因面板内的远程切换开关的错误操作而引发的过电流影响。
补充说明
PAN-A系列用途广泛,因此可使用的负载也是多种多样。如根据不同负载原来的使用方式,则有可能会引发故障或错误动作,所以需要采取必要的对策。
电池以及大功率型负载等,积蓄能量的负载时

负载电流拥有峰值时或呈脉冲状时
在数字电路或者电机驱动电路中,负载电流波形在仪表指示(平均值)钟即使在额定值内,当峰值超过额定值时,瞬间会进入稳恒电流领域,因此会出现输出电压降低,电压不稳。基本对策是增加输出电流(增加电流设定值或电流容量),但当脉冲幅度狭小或峰值小时,在负载端安装大功率的电容器的方法有时也有效。

感应性负载
电源的打开,关闭或者电压设定的变化引起的反电动势被与输出端并联的保护二极管D1分流,不会损坏电源。
以与电源相同的极性施加感应性负载产生的脉动噪声时,请串联接入二极管D2从而保护电源,在开关的两端,插入噪声防止用的CR吸收器。

当通过机械性开关打开,关闭输出时
当通过开关,开关100V以上的直流输出时,因电弧放电等,开关的接点明显消耗,产生噪声。该噪声有时会通过负载线进入电源的误差增幅器,使输出不稳。请与感应性负载的情况进行相同处理,在接点的附近,接入CR吸收器,实施噪声对策。
遥感时请同时开关感测线。

关于突入电流
接通电源时,由于接通的时机会产生突入电流。也被称为涌浪电流的该突入电流,因变压器芯材的磁饱和,理论上在电压波形的相位角90°(π/2)附近,接通电源开关,不会产生作为过度现象的突入电流,但在相位角0°(过零点)时,若接通电源开关,会产生如表格中所示的Max电流。实际上,芯材B-H曲线的滞后特性,或因切断开关的时机而产生的残留磁束的不同方向,或者被链接的AC线的阻抗,都会导致突入电流不同步。在使用多台PAN-A系列的系统中,当同时接通电源时,请注意AC电源或者配电盘的容量。

关于负电压
OUTPUT开关关闭时,以及把电流设定旋钮逆时针方向转到底时,输出部会产生0.6V左右的负电压。因此该电压,10mA左右的逆向电流流向负载。因此,关于该电流引发问题的负载,有时不适合使用本系列。
关于前面输出端子
前面的输出端子是补助输出端子。使用该端子时,有时会无法满足规格。而且,输出额定电压60V以上的型号,请使用附随的端子盖。
※PAN16-50A中没有装备该端子。
关于输出用的配线材
配线材的截面积和电流容量,电阻值间的关系。

产品阵容

- 上一条:没有了
- 下一条:智能可变开关型电源PAV系列




